Impacto de la pandemia de la COVID-19 en el tratamiento sustitutivo de la función renal
e202511075
Palabras clave:
Trasplante renal, Lista de espera, Impacto de la COVID-19, Enfermedad renal crónica, Pandemia COVID-19, Donación, Aragón, Hospital terciarioResumen
FUNDAMENTOS // La enfermedad renal crónica, que causa una pérdida progresiva de la función renal, requiere tratamientos sustitutivos para evitar el fallecimiento, siendo
el trasplante renal la opción más eficaz. La pandemia de la COVID-19 tuvo un impacto significativo, reduciendo la actividad de trasplantes y prolongando los tiempos de espera. Este estudio evaluó las diferencias en la actividad de trasplante renal, los tiempos en lista de espera y el tratamiento sustitutivo renal entre los periodos prepandémico y pandémico.
MÉTODOS // Se llevó a cabo un estudio observacional en el Hospital Universitario Miguel Servet de Zaragoza, analizando 326 trasplantes realizados entre 2017 y 2022.
Se definieron dos periodos: prepandémico (2017-2020) y pandémico (2020-2022). Los datos fueron extraídos de la base del hospital, excluyendo trasplantes de donantes vivos o combinados. Se aplicaron análisis estadísticos, como Kaplan-Meier y modelos de regresión de Cox.
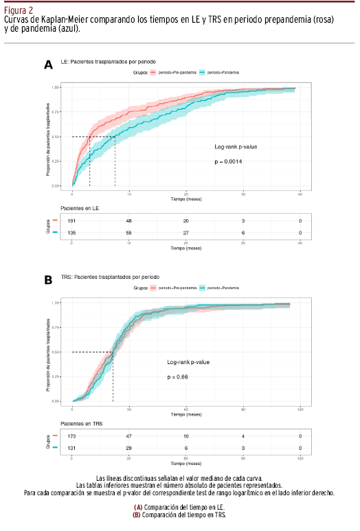
RESULTADOS // El tiempo mediano en la lista de espera aumentó de 3 meses en el periodo prepandémico a 7,5 meses en el pandémico (p=0,0014). La densidad de trasplantes disminuyó de 5,02 casos por mes a 4,21. Los donantes en asistolia aumentaron del 15,1% al 34,8%. Los varones mayores de 61,9 años fueron el grupo más afectado.
CONCLUSIONES // La pandemia aumenta los tiempos de espera y reduce la actividad de trasplantes renales, impactando especialmente a varones mayores. Estos hallazgos destacan la necesidad de optimizar los recursos sanitarios en futuras crisis.
Descargas
Citas
1. Grupo de trabajo de la Guía de Práctica Clínica sobre la Detección y el Manejo de la Enfermedad Renal Crónica. Guía de práctica clínica sobre la detección y el manejo de la enfermedad renal crónica. Ministerio de Sanidad, Servicios Sociales e Igualdad, Instituto Aragonés de Ciencias de la Salud; 2016. Guías de Práctica Clínica en el SNS.
2. Valdivia AJ, Gutiérrez GC, Méndez FD et al. Supervivencia en pacientes con trasplante renal: factores pronósticos. Invest Medicoquir. 2013;5(2):253-275.
3. López EF, Iranzo DM, Castañeda FJR, Lahoz VC, Dalmau AG. Factores pronósticos de reingreso y supervivencia en pacientes trasplantados renales. Enferm Nefrol. 2020;23(1):12-21.
4. Vistoli F, Furian L, Maggiore U, Caldara R, Cantaluppi V, Ferraresso M et al. COVID-19 and kidney transplantation: an Italian survey and consensus. J Nephrol. 2020;33(4):667-680. doi: https://dx.doi.org/10.1007/s40620-020-00755-8
5. Lentine KL, Vest LS, Schnitzler MA, Mannon RB, Kumar V, Doshi MD et al. Survey of living kidney donation and transplantation practices in the COVID-19 era. Kidney Int Rep. 2020;5(11):1894-1905. doi: https://dx.doi.org/10.1016/j.ekir.2020.08.01
6. Zidan A, Alabbad S, Ali T, Nizami I, Haberal M, Tokat Y et al. Position statement of transplant activity in the Middle East in the era of COVID-19 pandemic. Transplantation. 2020;104(11):2205-2207. doi: https://dx.doi.org/10.1097/TP.0000000000003348
7. Boyarsky BJ, Chiang TP, Werbel WA, Durand CM, Avery RK, Getsin SN et al. Early impact of COVID-19 on transplant center practices and policies in the United States. Am J Transplant. 2020;20(7):1809-1818. doi: https://dx.doi.org/10.1111/ajt.15915
8. Ahmed O, Brockmeier D, Lee K, Chapman WC, Doyle MBM. Organ donation during the COVID-19 pandemic. Am J Transplant. 2020;20(11):3081-3088. doi: https://dx.doi.org/10.1111/ajt.16199
9. Kramer A, Jager KJ, Chesnaye NC, Kerschbaum J, Hommel K, Farnés JC et al. Changes in the epidemiology of kidney replacement therapy across Europe in 2020: the first year of the COVID-19 pandemic. Nephrol Dial Transplant. 2024;39(3):408-419. PMID: 38889925.
10. Real Decreto 463/2020, de 14 de marzo, por el que se declara el estado de alarma para la gestión de la situación de crisis sanitaria ocasionada por el COVID-19. Bol Of del Estado. 2020;67(1):25390-25400.
11. Organización Nacional de Trasplantes. Informe anual 2020 [Internet]. Madrid: Ministerio de Sanidad; 2021 [consultado 12 sep 2024]. Disponible en: https://www.ont.es
12. Rodrigo E, Miñambres E, Gutiérrez-Baños JL, Valero R, Belmar L, Ruiz JC. COVID-19-related collapse of transplantation systems: a heterogeneous recovery? Am J Transplant. 2020;20(11):3265-3266.
13. Real Decreto-ley 8/2021, de 4 de mayo, por el que se adoptan medidas urgentes en el orden sanitario, social y jurisdiccional tras la finalización del estado de alarma declarado por el Real Decreto 926/2020, de 25 de octubre. Bol Of del Estado. 2021;107(1):53407-53431.
14. Declaración acerca de la decimoquinta reunión del Comité de Emergencias del Reglamento Sanitario Internacional (2005) sobre la pandemia de enfermedad por coronavirus (COVID-19) [Internet]. 2022. Disponible en: https://www.who.int
15. Instituto Nacional de Estadística (INE). Población por comunidades y provincias, nacionalidad (española/extranjera), sexo y edad [Internet]. Madrid: Instituto Nacional de Estadística; 2023 [actualizado el 1 de julio de 2023; consultado 22 ago 2024]. Disponible en: https://www.ine.es/jaxiT3/Datos.htm?t=56940#_tabs-tabla
16. Therneau TM. A package for survival analysis in R [software]. R package version 3.6-4. Disponible en: https://CRAN.R-project.org/package=survival
17. Therneau TM, Grambsch PM. Modeling survival data: extending the Cox model. New York: Springer; 2000. ISBN: 9780387987842.
18. Kassambara A, Kosinski M, Biecek P. Survminer: drawing survival curves using ‘ggplot2’. R package version 0.4-9. Disponible en: https://CRAN.R-project.org/package=survminer
19. Microsoft Corporation. Microsoft Access 2016 (Version 16) [software]. Redmond (WA): Microsoft; 2016.
20. Llano Señarís JE, Del Castillo JAS, López JLG, Quintero TDO. Oportunidades y retos del uso de datos de la vida real en el sistema sanitario español. En: López-Bastida J, Oliva J, Vallejo-Torres L, editores. Datos de la vida real. Madrid: Springer Healthcare Ibérica; 2022. p. 3-17.
Descargas
Archivos adicionales
Publicado
Cómo citar
Número
Sección
Categorías
Licencia
Derechos de autor 2025 Raúl López Blasco, Jesús Ibañez Ruiz, Laura Puente Santamaría, Beatriz González Álvarez, Carlos Telleria Orriols, Eduardo Parra Moncasi, Francisco Javier Paúl Ramos, Álex Gutiérrez Dalmau

Esta obra está bajo una licencia internacional Creative Commons Atribución-NoComercial-SinDerivadas 4.0.
Usted es libre de:
Compartir — copiar y redistribuir el material en cualquier medio o formato.
La licenciante no puede revocar estas libertades en tanto usted siga los términos de la licencia.
Bajo los siguientes términos:
Atribución — Usted debe dar crédito de manera adecuada , brindar un enlace a la licencia, e indicar si se han realizado cambios. Puede hacerlo en cualquier forma razonable, pero no de forma tal que sugiera que usted o su uso tienen el apoyo de la licenciante.
NoComercial — Usted no puede hacer uso del material con propósitos comerciales.
SinDerivadas — Si remezcla, transforma o crea a partir del material, no podrá distribuir el material modificado.
No hay restricciones adicionales — No puede aplicar términos legales ni medidas tecnológicas que restrinjan legalmente a otras a hacer cualquier uso permitido por la licencia.
Avisos:
No tiene que cumplir con la licencia para elementos del material en el dominio público o cuando su uso esté permitido por una excepción o limitación aplicable.
No se dan garantías. La licencia podría no darle todos los permisos que necesita para el uso que tenga previsto. Por ejemplo, otros derechos como publicidad, privacidad, o derechos morales pueden limitar la forma en que utilice el material.









![¿Cómo evaluar para la RESP? [PARA REVISORES]](https://ojs.sanidad.gob.es/public/site/images/rmartinb/pastilla-revisores-0eaa113abcbc4fc554c7c6c7840ca4c6.jpg)
![¿Cómo recibir avisos sobre nuevos artículos de la RESP? [PARA LECTORES]](https://ojs.sanidad.gob.es/public/site/images/rmartinb/pastilla-lectores-aa689338e95aab07df45b4b0d583188f.jpg)

